API 速查
常用 API¶
LLVM 中几乎所有对象均继承于 llvm::Value(继承关系见
Value 继承关系图)。本文档可能无法覆盖实现优化需要的所有 API。LLVM 中代码即文档,如果不清楚是否存在对应功能的 API,可以根据自己的需求查看对应类的头文件。
类型¶
指令¶
LLVM 中大部分优化会对指令进行修改,因此对指令操作的函数需要着重了解。
插入、删除、移动指令¶
插入指令:
void insertBefore(Instruction *insertBefore):将当前指令插入到指定指令之前void insertAfter(Instruction *insertAfter):将当前指令插入到指定指令之后Instruction* getInsertionPointAfterDef():返回当前指令定义处的下一个插入点(可能返回空指针)
删除指令:
SymbolTableList<Instruction>::iterator eraseFromParent():从其父节点(BasicBlock)中移除并删除当前指令,并返回被删除指令的下一条指令(删除前必须将当前指令的 Use 替换为其他指令或删除)void removeFromParent():从其父节点(BasicBlock)中移除当前指令但不删除BasicBlock::iterator erase(BasicBlock::iterator FromIt, BasicBlock::iterator ToIt):在基本块中使用 iterator 删除范围内所有指令
移动指令:
void moveBefore(Instruction *MovePos):将当前指令从父节点(BasicBlock)移除,并移动到指定指令之前void moveBefore(BasicBlock &BB, SymbolTableList<Instruction>::iterator I):将当前指令从父节点(BasicBlock)移除,并移动到特定 BB 的指定指令之前void moveAfter(Instruction *MovePos):将当前指令从父节点(BasicBlock)移除,并移动到指定指令之后
修改指令¶
操作数:
void setOperand(unsigned idx, Value *val):设置指定索引处的操作数为指定的值
指令修改 use 的相关操作:
void replaceAllUsesWith(Value *V):将所有用到当前指令结果的地方替换为 V。该函数在进行指令替换时经常会用到,因为删除指令前需要将被删除指令的所有 Use 替换/删除bool replaceUsesOfWith(Value *From, Value *To):将所有用到 From 的地方替换为 To,功能与replaceAllUsesWith相同void replaceUsesOutsideBlock(Value *V, BasicBlock *BB):将 BB 之外的 Use 全部替换为 Vvoid replaceUsesWithIf(Value *New, llvm::function_ref<bool(Use &U)> ShouldReplace):设置判断条件,满足条件时将当前指令替换为 V
// replaceAllUsesWith用法:
// I0被I2使用,不能删除
I0: %3 = add nsw %1, %2
I1: %4 = add nsw %1, %2
I2: %5 = add nsw %3, %4
// I0.replaceAllUsesWith(I1):将所有用到%3的地方替换为%4
// 此时I0没有被任何指令使用,可以删除
I0: %3 = add nsw %1, %2
I1: %4 = add nsw %1, %2
I2: %5 = add nsw %4, %4
查询指令¶
操作数:
unsigned getOpcode():获取指令的操作码(opcode),用于进行指令类型判断unsigned getNumOperands():获取指令操作数的数量Value* getOperand(unsigned idx):获取指令指定索引处 idx 的操作数
指令查询 use 的相关操作:
unsigned getNumUses():返回当前指令 Use 的数量(被使用的次数)iterator_range<use_iterator> uses():返回当前指令 Use 的迭代器(Use 数量与getNumUses()对应)op_range operands():返回当前指令 Use 的迭代器(用于遍历指令的所有操作数)User* getOperandList():返回当前指令所有操作数的列表Use& getOperandUse(unsigned idx):以Use形式返回第 idx 个操作数
指令所属的位置:
Module* getModule():获取当前指令所在的模块Function* getFunction():获取当前指令所在的函数BasicBlock* getParent():获取当前指令所在的基本块
Use 类¶
Use 类的定义如下,其描述了使用 Val 计算 Parent 的数据依赖关系。例如,在
%3 = add %1, %2 中 %3 存在两个 Use,其( Val , Parent )分别为( %3 ,
%1 )和( %3 , %2 )。 Val 相同的多个 Use 组织成链表的形式,使用 Next 和
Prev 记录链表中前后两个 Use。
class Use {
...
public:
friend class Value;
friend class User;
private:
Value *Val = nullptr;
Use *Next = nullptr;
Use **Prev = nullptr;
User *Parent = nullptr;
// 重载后可以直接使用Use调用Use.Val的方法
Value *operator->() { return Val; }
const Value *operator->() const { return Val; }
...
};
相关操作:
Value *get():返回ValUser *getUser():返回Parentunsigned getOperandNo():返回当前 Use 在 User 的操作数序号Use *getNext():返回当前 Use 在链表中的下一个 Use
// 假设I: %3 = add nsw %1, %2
Instruction *I = ...
// 遍历指令所有的操作数(遍历时使用引用)
// output: 操作数的定义指令
// %1 = ...
// %2 = ...
for (Use& u : I->operands()) {
// 获取usee对应的指令,此时user为I
Value* usee = u.get();
// 下面两条指令等价,因为Use类对->的重载
usee->print(mOut);
u->print(mOut);
}
// 遍历指令所有的Use(遍历时使用引用)
// output: 使用到I的结果的指令
// %4 = ... %3, ...
for (Use& u : I->uses()) {
// 获取user对应的指令,此时usee为I
Value* user = u.getUser();
user->print(mOut);
}
基本块¶
基本块是 LLVM IR 控制流的基本组成部分,对基本块的修改需要保证修改后程序的正确性。
插入、删除、移动基本块¶
插入基本块:
BasicBlock *Create(LLVMContext &Context, const Twine &Name = "", Function *Parent = nullptr, BasicBlock *InsertBefore = nullptr):创建基本块并插入到指定位置
删除基本块:
SymbolTableList<BasicBlock>::iterator eraseFromParent():从其父节点(Function)中移除并删除当前基本块,并返回被删除指令的下一个基本块void removeFromParent():从其父节点(Function)中移除当前基本块但不删除
移动基本块:
void moveBefore(BasicBlock *MovePos):将当前基本块从原来的位置移动到 MovePos 的前面void moveBefore(SymbolTableList<BasicBlock>::iterator MovePos):同上void moveAfter(BasicBlock *MovePos):将当前基本块从原来的位置移动到 MovePos 的后面void insertInto(Function *Parent, BasicBlock *InsertBefore = nullptr):将当前基本块插入到指定函数的某个基本块 InsertBefore 前BasicBlock *splitBasicBlock(Instruction *I, const Twine &BBName = "", bool Before = false):将基本块从指令 I 处分裂为两个基本块
查询基本块¶
查询基本块中的指令:
Instruction* getTerminator():获取当前基本块的终结指令(跳转、返回指令)iterator getFirstInsertionPt():获取当前基本块的第一个插入点Instruction* getFirstNonPHI():获取当前基本块的第一个非 PHI 指令
查询其他基本块:
BasicBlock *getSinglePredecessor():是否只有一个前驱基本块,且前驱基本块只有一条边指向当前基本块(e.g. switch 指令的多个 cases 指向同一个基本块不满足该条件)BasicBlock *getUniquePredecessor():是否只有一个前驱基本块BasicBlock *getSingleSuccessor():是否只有一个后驱基本块,且当前基本块只有一条边指向后驱基本块BasicBlock *getUniqueSuccessor():是否只有一个后驱基本块pred_range predecessors(BasicBlock *BB):返回当前基本块的所有前驱基本块succ_range successors(BasicBlock *BB):返回当前基本块的所有后驱基本块unsigned getNumUses():返回当前基本块的前驱数量。BasicBlock 继承于llvm::Value,因此也具有 Use 属性
查询基本块所属的对象:
Module* getModule():获取当前基本块所在的模块Function* getParent():获取当前基本块所在的函数
函数¶
Function* Create(FunctionType* Ty, LinkageTypes Linkage, unsigned AddrSpace, const Twine& N = "", Module* M = nullptr):创建函数void eraseFromParent():从其父节点(Module)中移除并删除当前函数void removeFromParent():从其父节点(Module)中移除当前函数但不删除size_t arg_size():获取函数形参数量Argument* getArg(unsigned i):获取第 i 个参数FunctionType* getFunctionType():获取函数类型(包括返回类型、参数类型等)Type* getReturnType():获取函数的返回类型BasicBlock& getEntryBlock():获取函数的入口基本块ValueSymbolTable* getValueSymbolTable():获取函数符号表BasicBlockListType &getBasicBlockList():获取基本块表
分析工具¶
LoopAnalysis¶
LLVM 的循环结构一般如下:
对循环进行优化时,常常需要获取与循环相关的信息,而 LLVM 为开发者提供了对循环进行分析的 Analysis
Pass: LoopAnalysis。使用该 Pass 前,需要先进行 Analysis
Pass 的注册(注册方式参考
Analysis Pass 注册)。由于
LoopAnalysis 为 Function 级别的 Analysis Pass,因此需要使用
FunctionAnalysisManager。 LoopAnalysis、 FunctionAnalysisManager 和
PassBuilder 的头文件分别为 llvm/Analysis/LoopInfo.h、
llvm/IR/PassManager.h、 llvm/Passes/PassBuilder.h。
llvm::PreservedAnalyses run(llvm::Module& mod,
llvm::ModuleAnalysisManager& mam) {
// 在FunctionAnalysisManager注册LoopAnalysis
FunctionAnalysisManager fam;
PassBuilder pb;
fam.registerPass( [&]{return LoopAnalysis();} );
pb.registerFunctionAnalyses(fam);
for (Function &func : mod) {
// 跳过函数声明
if(func.isDeclaration()) continue;
LoopInfo& LI = fam.getResult<LoopAnalysis>(func);
// LI包含了mod中所有循环的信息
for (Loop* LP : LI) {
// 对某个循环LP进行处理
...
}
}
}
对于 LoopInfo 有如下函数:
SmallVector<LoopT *, 4> getLoopsInPreorder():以先序遍历的顺序返回 Loop 的列表LoopT *getLoopFor(const BlockT *BB):返回 BB 所在的循环unsigned getLoopDepth(const BlockT *BB):返回 BB 所在的循环深度bool isLoopHeader(const BlockT *BB):判断 BB 是否为循环 header
对于 Loop 有如下函数:
unsigned getLoopDepth():返回循环深度unsigned getNumBlocks():返回循环中的基本块数量std::vector<BlockT *> &getBlocksVector():返回循环中所有基本块unsigned getNumBackEdges():返回 back edges 的数量const std::vector<LoopT *> &getSubLoops():返回内层循环LoopT *getParentLoop():返回父循环(若存在)bool contains(const BlockT *BB):判断 BB 是否在当前循环中BlockT *getHeader():返回循环的 header 基本块void getExitingBlocks(SmallVectorImpl<BlockT *> &ExitingBlocks):返回所有 exiting 基本块BlockT *getExitingBlock():若只有一个 exiting 基本块,则返回;否则返回 nullptrBlockT *getLoopPreheader():返回循环的 preheader 基本块
DominatorTree¶
支配树(Dominance Tree)是一种用于描述基本块之间支配关系的数据结构。在程序的控制流图中,一个基本块 A 支配另一个基本块 B,意味着无论程序执行路径如何,如果进入 B,则一定会先经过 A。支配树能够以树状结构表示这种支配关系。支配树有两个主要的概念:
- 支配关系(Dominance):在控制流图中,基本块 A 支配基本块 B,如果每条从图的入口节点到 B 的路径都必须经过 A。如果 A 支配 B,那么 A 被称为 B 的支配者,B 被称为 A 的被支配者。
- 支配树(Dominance Tree):支配树是控制流图中基本块之间支配关系的一种表示。它是一个树状结构,其中每个节点代表一个基本块,节点之间的父子关系表示最近支配关系。最近支配(immediate dominator,记作 idom)表示节点的最近支配关系,若 a idom b,则 a 是支配 b 且离 b 最近的节点。树的根节点是控制流图的入口基本块。
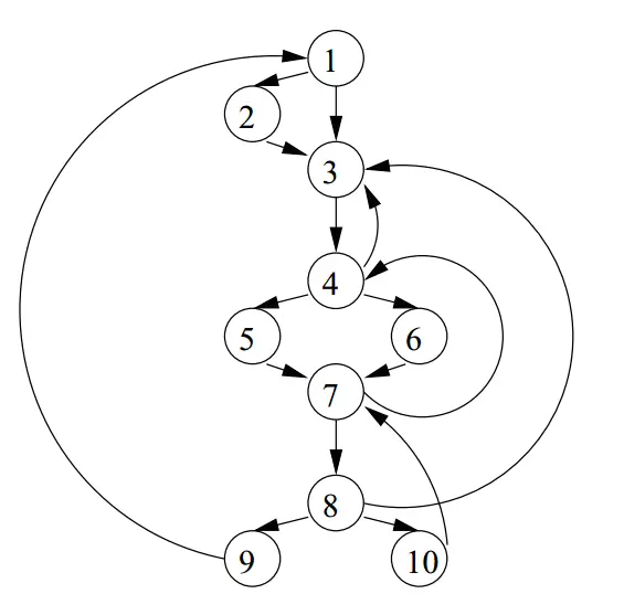
下面是一个控制流图,其中的节点表示基本块,边表示程序执行基本块的顺序,节点 1 为入口基本块:

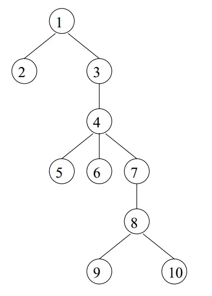
该控制流图对应的支配树如下:

在 LLVM 中,支配树使用数据结构 DominatorTree 表示,头文件为
llvm/IR/Dominators.h。
llvm::PreservedAnalyses run(llvm::Module& mod,
llvm::ModuleAnalysisManager& mam) {
DominatorTree domTree;
for (Function &func : mod) {
// 跳过函数声明
if(func.isDeclaration()) continue;
// 计算func的支配关系
domTree.recalculate(func);
...
}
}
DominatorTree 的常用 API 如下:
bool dominates(const NodeT *A, const NodeT *B):判断节点 A 是否支配节点 B(节点可以是基本块,也可以是指令)bool properlyDominates(const NodeT *A, const NodeT *B):判断节点 A 是否支配节点 B 且 A 与 B 不是同一个节点void getDescendants(NodeT *R, SmallVectorImpl<NodeT *> &Result):返回支配节点 R 的所有节点(包括 R)NodeT* getRoot():返回支配树的根节点
支配树与支配关系在基本块和代码移动时非常重要,如果我们希望一条指令移动到某个地方后能够影响后续某些基本块或指令,那么就需要将指令放在支配这些基本块或指令的位置。除了普通的支配树,LLVM 还提供了后序支配树
PostDominatorTree,其用法与 DominatorTree
类似,需要使用的同学们可以自行了解。
参考资料¶
附录¶

YatCC Agent